Xinjiang Petroleum Geology ›› 2025, Vol. 46 ›› Issue (2): 163-171.doi: 10.7657/XJPG20250205
• OIL AND GAS EXPLORATION • Previous Articles Next Articles
LIAO Keyan1(), QIU Nansheng1(
), CHANG Jian1, LI Dan1, LI Huili2, MA Anlai2, LI Jingying1
Received:
2024-06-20
Revised:
2024-08-16
Online:
2025-04-01
Published:
2025-03-26
CLC Number:
LIAO Keyan, QIU Nansheng, CHANG Jian, LI Dan, LI Huili, MA Anlai, LI Jingying. Characteristics of Deep Geothermal Field in Shuntuoguole Area of Tarim Basin[J]. Xinjiang Petroleum Geology, 2025, 46(2): 163-171.
Add to citation manager EndNote|Reference Manager|ProCite|BibTeX|RefWorks
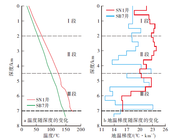
Table 1.
Thermophysical properties and calculated heat flow density in Wells SN1 and SB7 in the study area"
井名 | 深度段/km | 地温梯度/ (℃·km-1) | 平均热导率/ (W·m-1·K-1) | 放射性 生热率/ (μW·m-3) | 顶部 热流密度/ (mW·m-2) |
---|---|---|---|---|---|
SN1井 | 0—2.0 | 22.0 | 2.20 | 0.75 | 49.1 |
2.0—4.5 | 22.3 | 2.08 | 0.95 | 47.6 | |
4.5—7.0 | 18.8 | 2.31 | 1.45 | 45.3 | |
7.0—10.0 | 3.34 | 0.73 | 41.6 | ||
基底 | 39.4 | ||||
SB7井 | 0—2.0 | 18.4 | 2.04 | 1.01 | 38.7 |
2.0—4.5 | 18.1 | 1.94 | 1.22 | 36.7 | |
4.5—7.0 | 16.8 | 1.90 | 1.43 | 33.6 | |
7.0—10.9 | 3.28 | 0.75 | 30.1 | ||
基底 | 27.1 |
[1] | 王清华, 蔡振忠, 张银涛, 等. 塔里木盆地超深层走滑断控油气藏研究进展与趋势[J]. 新疆石油地质, 2024, 45(4):379-386. |
WANG Qinghua, CAI Zhenzhong, ZHANG Yintao, et al. Research progress and trend of ultra‑deep strike‑slip fault‑controlled hydrocarbon reservoirs in Tarim Basin[J]. Xinjiang Petroleum Geology, 2024, 45(4):379-386. | |
[2] |
马永生, 蔡勋育, 云露, 等. 塔里木盆地顺北超深层碳酸盐岩油气田勘探开发实践与理论技术进展[J]. 石油勘探与开发, 2022, 49(1):1-17.
doi: 10.11698/PED.2022.01.01 |
MA Yongsheng, CAI Xunyu, YUN Lu, et al. Practice and theoretical and technical progress in exploration and development of Shunbei ultra-deep carbonate oil and gas field,Tarim Basin,NW China[J]. Petroleum Exploration and Development, 2022, 49(1):1-17.
doi: 10.1016/S1876-3804(22)60001-6 |
|
[3] | LIU Yuchen, QIU Nansheng, LI Huili, et al. Terrestrial heat flow and crustal thermal structure in the northern slope of Tazhong uplift in Tarim Basin[J]. Geothermics, 2020,83:101709. |
[4] |
陈强路, 席斌斌, 韩俊, 等. 塔里木盆地顺托果勒地区超深层油藏保存及影响因素:来自流体包裹体的证据[J]. 中国石油勘探, 2020, 25(3):121-133.
doi: 10.3969/j.issn.1672-7703.2020.03.011 |
CHEN Qianglu, XI Binbin, HAN Jun, et al. Preservation and influence factors of ultra-deep oil reservoirs in Shuntuoguole area,Tarim Basin:Evidence from fluid inclusions[J]. China Petroleum Exploration, 2020, 25(3):121-133.
doi: 10.3969/j.issn.1672-7703.2020.03.011 |
|
[5] | 万旸璐, 顾忆, 傅强, 等. 塔里木盆地顺南-古隆地区深层奥陶系地温-地压特征与油气分布关系[J]. 矿物岩石, 2017, 37(1):74-83. |
WAN Yanglu, GU Yi, FU Qiang, et al. Characteristics of geothermal-geopressure field and its implications for the process of hydrocarbon distribution in deep Ordovician stratum in Shunnan-Gulong area of Tarim Basin[J]. Journal of Mineralogy and Petrology, 2017, 37(1):74-83. | |
[6] |
吴鲜, 李丹, 韩俊, 等. 塔里木盆地顺托果勒北部地区超深层现今地温场特征[J]. 石油学报, 2022, 43(1):29-40.
doi: 10.7623/syxb202201003 |
WU Xian, LI Dan, HAN Jun, et al. Characteristics of present ultra-deep geothermal field in the northern Shuntuoguole low uplift,Tarim Basin[J]. Acta Petrolei Sinica, 2022, 43(1):29-40.
doi: 10.7623/syxb202201003 |
|
[7] | 焦方正. 塔里木盆地顺托果勒地区北东向走滑断裂带的油气勘探意义[J]. 石油与天然气地质, 2017, 38(5):831-839. |
JIAO Fangzheng. Significance of oil and gas exploration in NE strike-slip fault belts in Shuntuoguole area of Tarim Basin[J]. Oil & Gas Geology, 2017, 38(5):831-839. | |
[8] | 漆立新, 丁勇. 塔里木盆地顺北地区东西部海相油气成藏差异[J]. 石油实验地质, 2023, 45(1):20-28. |
QI Lixin, DING Yong. Differences in marine hydrocarbon accumulation between the eastern and western parts of Shunbei area,Tarim Basin[J]. Petroleum Geology & Experiment, 2023, 45(1):20-28. | |
[9] | 陈平, 能源, 吴鲜, 等. 塔里木盆地顺北5号走滑断裂带分层分段特征及构造演化[J]. 新疆石油地质, 2023, 44(1):33-42. |
CHEN Ping, NENG Yuan, WU Xian, et al. Stratification and segmentation characteristics and tectonic evolution of Shunbei No.5 strike-slip fault zone in Tarim Basin[J]. Xinjiang Petroleum Geology, 2023, 44(1):33-42. | |
[10] | 张红波, 周雨双, 沙旭光, 等. 塔里木盆地顺北5号走滑断裂隆起段发育特征与演化机制[J]. 石油与天然气地质, 2023, 44(2):321-334. |
ZHANG Hongbo, ZHOU Yushuang, SHA Xuguang, et al. Development characteristics and evolution mechanism of the uplifted segment of the No.5 strike-slip fault zone in Shunbei area,Tarim Basin[J]. Oil & Gas Geology, 2023, 44(2):321-334. | |
[11] | 黄太柱. 塔里木盆地塔中北坡构造解析与油气勘探方向[J]. 石油实验地质, 2014, 36(3):257-267. |
HUANG Taizhu. Structural interpretation and petroleum exploration targets in northern slope of middle Tarim Basin[J]. Petroleum Geology & Experiment, 2014, 36(3):257-267. | |
[12] | 贾承造, 魏国齐. 塔里木盆地构造特征与含油气性[J]. 科学通报, 2002, 47(增刊):1-8. |
JIA Chengzao, WEI Guoqi. Structural characteristics and hydrocarbon potential in Tarim Basin[J]. Chinese Science Bulletin, 2002,47(Supp.):1-8. | |
[13] |
刘绍文, 李香兰, 郝春艳, 等. 塔里木盆地的热流、深部温度和热结构[J]. 地学前缘, 2017, 24(3):41-55.
doi: 10.13745/j.esf.2017.03.004 |
LIU Shaowen, LI Xianglan, HAO Chunyan, et al. Heat flow,deep formation temperature and thermal structure of the Tarim Basin,northwest China[J]. Earth Science Frontiers, 2017, 24(3):41-55. | |
[14] | 冯昌格, 刘绍文, 王良书, 等. 塔里木盆地现今地热特征[J]. 地球物理学报, 2009, 52(11):2752-2762. |
FENG Changge, LIU Shaowen, WANG Liangshu, et al. Present-day geothermal regime in Tarim Basin,northwest China[J]. Chinese Journal of Geophysics, 2009, 52(11):2752-2762. | |
[15] |
LI Xianglan, LIU Shaowen, FENG Changge. Thermal properties of sedimentary rocks in the Tarim Basin,northwestern China[J]. AAPG Bulletin, 2019, 103(7):1605-1624.
doi: 10.1306/11211817179 |
[16] | BÜCKER C, RYBACH L. A simple method to determine heat production from gamma-ray logs[J]. Marine and Petroleum Geology, 1996, 13(4):373-375. |
[17] | 罗昕, 朱传庆, 张宝收, 等. 利用自然伽马测井估算塔里木盆地沉积层生热率[J]. 地质学报, 2020, 94(7):2078-2088. |
LUO Xin, ZHU Chuanqing, ZHANG Baoshou, et al. Heat production rate calculation using gamma-ray logging of the sedimentary formation in the Tarim Basin,northwest China[J]. Acta Geologica Sinica, 2020, 94(7):2078-2088. | |
[18] | BEARDSMORE G, CULL J. Crustal heat flow:A guide to measurement and modelling[M]. London: Cambridge University Press, 2001. |
[19] | JAUPART C, MARESCHAL J C. 6.05-Heat flow and thermal structure of the lithosphere[J]. Treatise on Geophysics, 2007,6:217-251. |
[20] | YANG Haijun, WU Guanghui, KUSKY T M, et al. Paleoproterozoic assembly of the north and south Tarim terranes:New insights from deep seismic profiles and Precambrian granite cores[J]. Precambrian Research, 2018,305:151-165. |
[21] | 李曰俊, 孙龙德, 胡世玲, 等. 塔里木盆地塔参1井底部花岗闪长岩的40Ar-39Ar年代学研究[J]. 岩石学报, 2003, 19(3):530-536. |
LI Yuejun, SUN Longde, HU Shiling, et al. 40Ar-39Ar geochronology of the granite and diorite revealed at the bottom of Tacan 1,the deepest well in China[J]. Acta Petrologica Sinica, 2003, 19(3):530-536. | |
[22] | 何碧竹, 焦存礼, 蔡志慧, 等. 塔里木盆地中部航磁异常带新解译[J]. 中国地质, 2011, 38(4):961-969. |
HE Bizhu, JIAO Cunli, CAI Zhihui, et al. A new interpretation of the high aeromagnetic anomaly zone in central Tarim Basin[J]. Geology in China, 2011, 38(4):961-969. | |
[23] | 李文山, 李江海, 周肖贝, 等. 塔里木盆地中央高磁异常带成因:来自地震反射剖面的新证据[J]. 北京大学学报(自然科学版), 2014, 50(2):281-287. |
LI Wenshan, LI Jianghai, ZHOU Xiaobei, et al. Genesis of high aeromagnetic anomaly zone in central Tarim Basin:New evidence from seismic profiles[J]. Acta Scientiarum Naturalium Universitatis Pekinensis, 2014, 50(2):281-287. | |
[24] | ZHOU Xiaojun, TIAN Weizhen, WU Guanghui, et al. Geochemistry and U-Pb-Hf zircon systematics of Cryogenian syn-rift magmatic rocks from the subsurface of the Tarim craton:Implications for subduction-related continental rifting[J]. Precambrian Research, 2022,377:106733. |
[25] | 何碧竹, 焦存礼, 黄太柱, 等. 塔里木盆地新元古代裂陷群结构构造及其形成动力学[J]. 中国科学:地球科学, 2019, 49(4):635-655. |
HE Bizhu, JIAO Cunli, HUANG Taizhu, et al. Structural architecture of Neoproterozoic rifting depression groups in the Tarim Basin and their formation dynamics[J]. Science China:Earth Sciences, 2019, 49(4):635-655. | |
[26] | ZHU Guangyou, CHEN Zhiyong, CHEN Weiyan, et al. Revisiting to the Neoproterozoic tectonic evolution of the Tarim block,NW China[J]. Precambrian Research, 2021,352:106013. |
[27] |
陈红汉, 鲁子野, 曹自成, 等. 塔里木盆地塔中地区北坡奥陶系热液蚀变作用[J]. 石油学报, 2016, 37(1):43-63.
doi: 10.7623/syxb201601004 |
CHEN Honghan, LU Ziye, CAO Zicheng, et al. Hydrothermal alteration of Ordovician reservoir in northeastern slope of Tazhong uplift,Tarim Basin[J]. Acta Petrolei Sinica, 2016, 37(1):43-63.
doi: 10.7623/syxb201601004 |
|
[28] | 石开波, 刘波, 姜伟民, 等. 塔里木盆地南华纪—震旦纪构造-沉积格局[J]. 石油与天然气地质, 2018, 39(5):862-877. |
SHI Kaibo, LIU Bo, JIANG Weimin, et al. Nanhua-Sinian tectono-sedimentary framework of Tarim Basin,NW China[J]. Oil & Gas Geology, 2018, 39(5):862-877. | |
[29] | 杨书江, 师骏, 许士朝, 等. 塔里木盆地超深层古板块地质结构特征[C]. 成都: 中国石油学会2021年物探技术研讨会论文集,2021:1413-1416. |
YANG Shujiang, SHI Jun, XU Shizhao, et al. Geological structure characteristics of ultra deep paleoplate in Tarim Basin[C]. Chengdu:Collection of Papers from the 2021 Geophysical Exploration Technology Seminar of the Chinese Petroleum Society,2021:1413-1416. | |
[30] | WANG Tengfei, JIN Zhenkai, YU Xiaoxia, et al. New discovery of upper crustal high- and low-velocity belts and high-velocity core in the Tarim Basin[J]. Acta Geologica Sinica, 2019, 93(1):229-230. |
[31] |
许靖华. 残留弧后盆地及其辨识准则和实例[J]. 石油学报, 1993, 14(1):1-13.
doi: 10.7623/syxb199301001 |
HSÜ K J. Relict back-arc basins:Principles of recognition and possible new examples from China[J]. Acta Petrolei Sinica, 1993, 14(1):1-13.
doi: 10.7623/syxb199301001 |
|
[32] |
杨敏, 于鹏, 朱光有, 等. 耦合地震约束信息的重磁电联合反演方法及其应用:以塔里木盆地深层地质结构解析为例[J]. 天然气地球科学, 2022, 33(1):168-179.
doi: 10.11764/j.issn.1672-1926.2021.08.005 |
YANG Min, YU Peng, ZHU Guangyou, et al. Gravity-magnetic-magnetotelluric joint inversion method coupled with seismic constraint information and its application:Case study of the analysis of deep geological structure in Tarim Basin[J]. Natural Gas Geoscience, 2022, 33(1):168-179.
doi: 10.11764/j.issn.1672-1926.2021.08.005 |
|
[33] | MARESCHAL J C, JAUPART C. Radiogenic heat production,thermal regime and evolution of continental crust[J]. Tectonophysics, 2013,609:524-534. |
[34] | WANGEN M. The blanketing effect in sedimentary basins[J]. Basin Research, 1995, 7(4):283-298. |
[35] | 李映涛, 叶宁, 袁晓宇, 等. 塔里木盆地顺南4井中硅化热液的地质与地球化学特征[J]. 石油与天然气地质, 2015, 36(6):934-944. |
LI Yingtao, YE Ning, YUAN Xiaoyu, et al. Geological and geochemical characteristics of silicified hydrothermal fluids in Well Shunnan 4,Tarim Basin[J]. Oil & Gas Geology, 2015, 36(6):934-944. | |
[36] | LU Ziye, CHEN Honghan, QING Hairuo, et al. Petrography,fluid inclusion and isotope studies in Ordovician carbonate reservoirs in the Shunnan area,Tarim Basin,NW China:Implications for the nature and timing of silicification[J]. Sedimentary Geology, 2017,359:29-43. |
[1] | LI Hui, NING Yaxin. Differences in Natural Fracture Development in Ultra-Deep Carbonate Reservoirs: A Case Study of YUEM Area in Tarim Basin [J]. Xinjiang Petroleum Geology, 2025, 46(2): 144-153. |
[2] | WANG Wei, DAI Mengying, CHEN Junkai, ZOU Yunlong, WU Qiong, JIANG Qiong, FENG Cheng. Identification and Distribution of Silurian Interlayers in YM 35 Well Block, Tarim Basin [J]. Xinjiang Petroleum Geology, 2025, 46(2): 154-162. |
[3] | WANG Yanli, ZHU Songbai, WU Weimin, NIE Yanbo, LIN Na, ZHAO Ji, HUANG Rui. Fault/Fracture Characteristics and Production Strategies for Ultra-Deep Fractured Tight Sandstone Gas Reservoirs [J]. Xinjiang Petroleum Geology, 2025, 46(2): 217-223. |
[4] | HUANG Chao, GUO Honghui, ZHANG Shenglong, ZHU Lintao, FENG Jianwei, DU He. In-situ Stress Characteristics and Fracture Distribution Prediction of Different Segments in Shunbei No.4 Strike-Slip Fault Zone, Tarim Basin [J]. Xinjiang Petroleum Geology, 2025, 46(1): 1-12. |
[5] | LIU Liwei, ZHOU Hui, YAN Bingxu, JIAO Yuwei, QU Yuanji, JIN Jiangning, PAN Yangyong. Water Invasion Characteristics and Stable Production Strategies in Kelasu Ultra-Deep Gas Field, Kuqa Depression [J]. Xinjiang Petroleum Geology, 2025, 46(1): 71-77. |
[6] | WANG Yingying, GUI Lili, LU Xuesong, LIU Huichuan, MO Tao, ZHOU Hui, JIANG Lin. Structural Deformation and Hydrocarbon Accumulation Characteristics of Baxigai Formation in Awat Area, Kuqa Depression [J]. Xinjiang Petroleum Geology, 2024, 45(6): 631-641. |
[7] | YANG Yufang, XIAO Qiang, SU Rongkun, LIU Hongping, ZHANG Li, MENG Luying. Sedimentary Facies of Yangxia Formation Around Yakela Fault-Bulge in Tarim Basin [J]. Xinjiang Petroleum Geology, 2024, 45(6): 650-658. |
[8] | WANG Qinghua, CAI Zhenzhong, ZHANG Yintao, WU Guanghui, XIE Zhou, WAN Xiaoguo, TANG Hao. Research Progress and Trend of Ultra-Deep Strike-Slip Fault-Controlled Hydrocarbon Reservoirs in Tarim Basin [J]. Xinjiang Petroleum Geology, 2024, 45(4): 379-386. |
[9] | YANG Haijun, NENG Yuan, SHAO Longfei, XIE Zhou, KANG Pengfei, YUAN Jingyi, FU Yonghong. Multilayer Superimposition Patterns of Strike-Slip Fault Zones and Their Petroleum Geological Significance in Platform Area, Tarim Basin [J]. Xinjiang Petroleum Geology, 2024, 45(4): 387-400. |
[10] | CAI Zhenzhong, LI Bing, LUO Xiao, LI Huiyuan, LI Mengqin, LI Zhengyang, WANG Qinghong. Ordovician Differential Deformation Mechanism of Northern Section of FⅠ17 Strike-Slip Fault, Tarim Basin [J]. Xinjiang Petroleum Geology, 2024, 45(4): 401-408. |
[11] | BAI Bingchen, WU Guanghui, MA Bingshan, ZHAO Xingxing, TANG Hao, SHEN Chunguang, WANG Xupeng. Segmented Structural Characteristics and Growth Mechanism of Transtensional Strike-Slip Fault Zone in Tazhong Uplift [J]. Xinjiang Petroleum Geology, 2024, 45(4): 409-416. |
[12] | XIONG Chang, SHEN Chunguang, ZHAO Xingxing, ZHAO Longfei, LI Shengqian, ZHOU Jie, PAN Tiancou. Segmentation of Strike-Slip Faults and Its Controls on Hydrocarbon Accumulation in Tarim Basin: A Case Study of FⅠ17 Strike-Slip Fault Zone [J]. Xinjiang Petroleum Geology, 2024, 45(4): 417-424. |
[13] | ZHU Yongfeng, ZHANG Yanqiu, YANG Xinying, YANG Guang, PENG Debing, HAN Yu, WANG Zhenyu. Types and Distribution of Grain Shoals in Yijianfang Formation of Fuman Area, Tarim Basin [J]. Xinjiang Petroleum Geology, 2024, 45(4): 432-441. |
[14] | HUANG Zhaoting, LI Chuntao, WANG Bin, QIAO Xia, FU Ying, YAN Bingxu. Enhanced Recovery in Middle and Late Stages of Depletion Development of Condensate Gas Reservoirs With Oil Ring [J]. Xinjiang Petroleum Geology, 2024, 45(4): 470-474. |
[15] | WANG Rujun, SUN Chong, YUAN Jingyi, LIU Ruidong, WANG Xuan, MA Yinglong, WANG Xupeng. Seismic Identification of Strike-Slip Fault Damage Zones Based on Structure Tensor Analysis: A Case Study of Ultra-Deep Carbonate Rocks in Fuman Oilfield [J]. Xinjiang Petroleum Geology, 2024, 45(4): 475-482. |
Viewed | ||||||
Full text |
|
|||||
Abstract |
|
|||||