
新疆石油地质 ›› 2023, Vol. 44 ›› Issue (2): 169-177.doi: 10.7657/XJPG20230206
刘向君1(
), 王小军2, 赵保伟1, 熊健1(
), 梁利喜1
收稿日期:2022-03-02
修回日期:2022-09-14
出版日期:2023-04-01
发布日期:2023-03-31
通讯作者:
熊健(1986-),男,湖北荆州人,副研究员,博士,岩石物理,(Tel)13880093092(E-mail)作者简介:刘向君(1969-),女,四川资中人,教授,博士生导师,博士,岩石力学,(Tel)028-83032731(E-mail)基金资助:
LIU Xiangjun1(
), WANG Xiaojun2, ZHAO Baowei1, XIONG Jian1(
), LIANG Lixi1
Received:2022-03-02
Revised:2022-09-14
Online:2023-04-01
Published:2023-03-31
摘要:
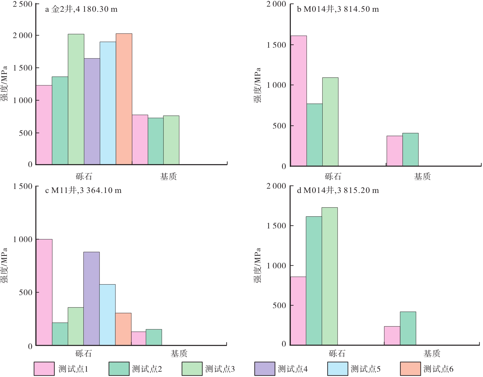
为探究准噶尔盆地二叠系乌尔禾组砂砾岩储集层水力压裂裂缝扩展延伸规律,采用真实破裂过程分析软件,研究砾石特征、地应力等因素对裂缝扩展的影响。根据数值模拟,研究不同条件下裂缝的扩展过程,描述岩石裂缝演化及形态,建立砂砾岩储集层可压裂性的评价模型。结果表明:乌尔禾组砾石强度和基质强度差异较大,砾石强度为216.62~2 032.64 MPa,是基质强度的2~4倍,砾岩岩石力学特性差异明显;砾石含量较小时,裂缝扩展主要受主应力的影响;砾石粒径较小时,裂缝扩展方式主要为绕砾;随着粒径增大或砾石含量增加,砾石对裂缝的抑制和屏蔽作用明显,裂缝延伸距离减小;砾石强度与基质强度差异越大,裂缝遇砾石受阻越强,扩展方式越易由穿砾变为绕砾,降低了裂缝延伸距离。运用灰色关联法和层次分析法,综合考虑砾石特征、水平地应力差等因素,建立了砂砾岩储集层可压裂性评价系数计算模型,无因次压裂裂缝面积和米采液指数与可压裂性评价系数呈正相关关系。
中图分类号:
刘向君, 王小军, 赵保伟, 熊健, 梁利喜. 砂砾岩储集层水力压裂裂缝扩展规律与可压性评价[J]. 新疆石油地质, 2023, 44(2): 169-177.
LIU Xiangjun, WANG Xiaojun, ZHAO Baowei, XIONG Jian, LIANG Lixi. Propagation of Hydraulic Fractures and Fracability Evaluation of Sandy Conglomerate Reservoirs[J]. Xinjiang Petroleum Geology, 2023, 44(2): 169-177.
| [1] | 昝灵, 王顺华, 张枝焕, 等. 砂砾岩储层研究现状[J]. 长江大学学报(自然科学版), 2011, 8(3):63-66. |
| ZAN Ling, WANG Shunhua, ZHANG Zhihuan, et al. Research status of sandy conglomerates reservoir[J]. Journal of Yangtze University(Natural Science Edition), 2011, 8(3):63-66. | |
| [2] | 张守伟. 东营北带砂砾岩储层岩石物理特征研究[D]. 山东青岛: 中国石油大学(华东), 2011. |
| ZHANG Shouwei. Study on the rock physics properties of glutenite reservoir about Dongying north actic region[D]. Qingdao,Shandong: China University of Petroleum (East China), 2011. | |
| [3] | BAŽANT Z P, SALVIATO M, CHAU V T, et al. Why fracking works[J]. Journal of Applied Mechanics, 2014, 81:1-10. |
| [4] | 曾凡辉, 郭建春, 陈敏. 大厚段砂砾岩储层压裂工艺技术研究及应用[J]. 石油天然气学报, 2011, 33(5):123-126. |
| ZENG Fanhui, GUO Jianchun, CHEN Min. Fracturing technology research and application of big and thick glutenite reservoirs[J]. Journal of Oil and Gas Technology, 2011, 33(5):123-126. | |
| [5] | 马耕, 张帆, 刘晓, 等. 地应力对破裂压力和水力裂缝影响的试验研究[J]. 岩土力学, 2016, 37(增刊2):216-222. |
| MA Geng, ZHANG Fan, LIU Xiao, et al. Experimental study of impact of crustal stress on fracture pressure and hydraulic fracture[J]. Rock and Soil Mechanics, 2016, 37(Supp.2):216-222. | |
| [6] | 谭鹏, 金衍, 陈刚. 四川盆地不同埋深龙马溪页岩水力裂缝缝高延伸形态及差异分析[J]. 石油科学通报, 2022, 7(1):61-70. |
| TAN Peng, JIN Yan, CHEN Gang. Differences and causes of fracture height geometry for Longmaxi shale with different burial depths in the Sichuan basin[J]. Petroleum Science Bulletin, 2022, 7(1):61-70. | |
| [7] | WANG Hanyi. Hydraulic fracture propagation in naturally fractured reservoirs:complex fracture or fracture networks[J]. Journal of Natural Gas Science and Engineering, 2019, 68:102 911. |
| [8] | 宋晨鹏, 卢义玉, 夏彬伟, 等. 天然裂缝对煤层水力压裂裂缝扩展的影响[J]. 东北大学学报(自然科学版), 2014, 35(5):756-760. |
| SONG Chenpeng, LU Yiyu, XIA Binwei, et al. Effects of natural fractures on hydraulic fractures propagation of coal seams[J]. Journal of Northeastern University(Natural Science), 2014, 35(5):756-760. | |
| [9] | 陈超峰, 王佳, 俞天喜, 等. 玛湖凹陷乌尔禾组砾岩储集层裂缝支撑剂运移规律[J]. 新疆石油地质, 2021, 42(5):559-564. |
| CHEN Chaofeng, WANG Jia, YU Tianxi, et al. Proppant migration law in fractures of conglomerate reservoirs of Wuerhe formation in Mahu sag[J]. Xinjiang Petroleum Geology, 2021, 42(5):559-564. | |
| [10] | 俞天喜, 袁峰, 周培尧, 等. 玛南斜坡上乌尔禾组颗粒支撑砾岩裂缝扩展形态[J]. 新疆石油地质, 2021, 42(1):53-62. |
| YU Tianxi, YUAN Feng, ZHOU Peiyao, et al. Fracture propagating shapes in gravel-supported conglomerate reservoirs of upper Wuerhe formation on Manan slope,Mahu sag[J]. Xinjiang Petroleum Geology, 2021, 42(1):53-62. | |
| [11] | 梁利喜, 黄静, 刘向君, 等. 天然裂缝对页岩储层网状诱导缝的控制作用[J]. 成都理工大学学报(自然科学版), 2016, 43(6):696-702. |
| LIANG Lixi, HUANG Jing, LIU Xiangjun, et al. Formation and controlling effect of natural fractures on network induced fractures in shale reservoir[J]. Journal of Chengdu University of Technology (Science & Technology Edition), 2016, 43(6):696-702. | |
| [12] | 范铁刚, 张广清. 注液速率及压裂液黏度对煤层水力裂缝形态的影响[J]. 中国石油大学学报(自然科学版), 2014, 38(4):117-123. |
| FAN Tiegang, ZHANG Guangqing. Influence of injection rate and fracturing fluid viscosity on hydraulic fracture geometry in coal[J]. Journal of China University of Petroleum(Edition of Natural Science), 2014, 38(4):117-123. | |
| [13] | 谭鹏, 金衍, 侯冰, 等. 煤岩定向井水力裂缝起裂及非平面扩展实验[J]. 石油勘探与开发, 2017, 44(3):439-445. |
| TAN Peng, JIN Yan, HOU Bing, et al. Experimental investigation on fracture initiation and non-planar propagation of hydraulic fractures in coal seams[J]. Petroleum Exploration and Development, 2017, 44(3):439-445. | |
| [14] | LI Qinghui, CHEN Mian, ZHOU Yu, et al. Rock mechanical properties of shale gas reservoir and their influences on hydraulic fracture[C]. Beijing: International Petroleum Technology Conference, 2013. |
| [15] | 侯冰, 谭鹏, 陈勉, 等. 致密石灰岩储层压裂裂缝扩展形态试验研究[J]. 岩土工程学报, 2016, 38(2):219-225. |
| HOU Bing, TAN Peng, CHENG Mian, et al. Experimental investigation on propagation geometry of hydraulic fracture in compact limestone reservoirs[J]. Chinese Journal of Geotechnical Engineering, 2016, 38(2):219-225. | |
| [16] |
曾青冬, 姚军, 孙致学. 页岩气藏压裂缝网扩展数值模拟[J]. 力学学报, 2015, 47(6):994-999.
doi: 10.6052/0459-1879-15-014 |
|
ZENG Qingdong, YAO Jun, SUN Zhixue. Numerical modeling of fracture network propagation in shale reservoirs[J]. Chinese Journal of Theoretical and Applied Mechanics, 2015, 47(6):994-999.
doi: 10.6052/0459-1879-15-014 |
|
| [17] | OLSON J E, TALEGHANI A D. Modeling simultaneous growth of multiple hydraulic fractures and their interaction with natural fractures[C]. Woodlands: SPE Hydraulic Fracturing Technology Conference, 2009:726-732. |
| [18] |
ZENG Qingdong, LIU Wenzheng, YAO Jun. Numerical modeling of multiple fractures propagation in anisotropic formation[J]. Journal of Natural Gas Science and Engineering, 2018, 53:337-346.
doi: 10.1016/j.jngse.2018.02.035 |
| [19] | MA Xiaolong, JIANG Dandan, FANG Xiaoyu, et al. Numerical simulation of single-cluster and multi-cluster fracturing of hydrate reservoir based on cohesive element[J]. Engineering Fracture Mechanics, 2022, 265:108 365. |
| [20] | 赵益忠, 曲连忠, 王幸尊, 等. 不同岩性地层水力压裂裂缝扩展规律的模拟实验[J]. 中国石油大学学报(自然科学版), 2007, 31(3):63-66. |
| ZHAO Yizhong, QU Lianzhong, WANG Xingzun, et al. Simulation experiment on prolongation law of hydraulic fracture for different lithologic formations[J]. Journal of China University of Petroleum(Edition of Natural Science), 2007, 31(3):63-66. | |
| [21] | 孟庆民, 张士诚, 郭先敏, 等. 砂砾岩水力裂缝扩展规律初探[J]. 石油天然气学报, 2010, 32(4):119-123. |
| MENG Qingmin, ZHANG Shicheng, GUO Xianmin, et al. A primary investigation on propagation mechanism for hydraulic fractures in glutenite formation[J]. Journal of Oil and Gas Technology, 2010, 32(4):119-123. | |
| [22] | 余东合, 徐康泰, 车航, 等. 基于细观损伤多相耦合的砂砾岩水力压裂裂缝扩展数值模拟[J]. 石油钻采工艺, 2016, 38(3):352-358. |
| YU Donghe, XU Kangtai, CHE Hang, et al. Numerical simulation on hydraulic fracture propagation in glutenite reservoir based on microscopic damage multiphase coupling[J]. Oil Drilling & Production Technology, 2016, 38(3):352-358. | |
| [23] | 鞠杨, 杨永明, 陈佳亮, 等. 低渗透非均质砂砾岩的三维重构与水压致裂模拟[J]. 科学通报, 2016, 61(1):82-93. |
| JU Yang, YANG Yongming, CHEN Jialiang, et al. 3D reconstruction of low-permeability heterogeneous glutenites and numerical simulation of hydraulic fracturing behavior[J]. Chinese Science Bulletin, 2016, 61(1):82-93. | |
| [24] | 刘鹏. 砂砾岩水压致裂机理的实验与数值模拟研究[D]. 北京: 中国矿业大学(北京), 2017. |
| LIU Peng. Experimental and numerical simulating studies on hydrofracturing mechanism of glutenite[D]. Beijing: China University of Mining and Technology (Beijing), 2017. | |
| [25] | 刘向君, 熊健, 梁利喜, 等. 玛湖凹陷百口泉组砂砾岩储集层岩石力学特征与裂缝扩展机理[J]. 新疆石油地质, 2018, 39(1):83-91. |
| LIU Xiangjun, XIONG Jian, LIANG Lixi, et al. Rock mechanical characteristics and fracture propagation mechanism of sandy conglomerate reservoirs in Baikouquan formation of Mahu sag[J]. Xinjiang Petroleum Geology, 2018, 39(1):83-91. | |
| [26] | 张重阳, 熊健, 梁利喜, 等. KS地区砾岩地层岩石力学特性试验研究[J]. 科学技术与工程, 2020, 20(27):11 038-11 044. |
| ZHANG Chongyang, XIONG Jian, LIANG Lixi, et al. Experimental study on the mechanical properties of the rocks in the conglomerate formation of the KS area[J]. Science Technology and Engineering, 2020, 20(27):11 038-11 044. | |
| [27] | 唐鹏飞. 松北致密气藏砂砾岩储层脆性特征实验研究[J]. 油气地质与采收率, 2019, 26(6):46-52. |
| TANG Pengfei. Experimental study on brittleness of glutenite formation in tight gas reservoir of Songbei area[J]. Petroleum Geology and Recovery Efficiency, 2019, 26(6):46-52. | |
| [28] | 李宁, 张士诚, 马新仿, 等. 砂砾岩储层水力裂缝扩展规律试验研究[J]. 岩石力学与工程学报, 2017, 36(10):2 383-2 392. |
| LI Ning, ZHANG Shicheng, MA Xinfang, et al. Experimental study on the propagation mechanism of hydraulic fracture in glutenite formations[J]. Chinese Journal of Rock Mechanics and Engineering, 2017, 36(10):2 383-2 392. | |
| [29] |
LI Mingzhong, TANG Shukai, GUO Tiankui, et al. Numerical investigation of hydraulic fracture propagation in the glutenite reservoir[J]. Journal of Geophysics and Engineering, 2018, 15(5):2 124-2 138.
doi: 10.1088/1742-2140/aaba27 |
| [30] | 李国锋, 王德安, 成勇, 等. 应用灰色关联分析法优选大牛地气田压裂井层[J]. 岩性油气藏, 2011, 23(1):114-117. |
| LI Guofeng, WANG Dean, CHENG Yong, et al. Using grey correlation analysis method to optimize fractured well in Daniudi gasfield[J]. Lithologic Reservoirs, 2011, 23(1):114-117. | |
| [31] | 崔春兰, 董振国, 吴德山. 湖南保靖区块龙马溪组岩石力学特征及可压性评价[J]. 天然气地球科学, 2019, 30(5):626-634. |
| CUI Chunlan, DONG Zhenguo, WU Deshan. Rock mechanics study and fracability evaluation for Longmaxi formation of Baojing block in Hunan province[J]. Natural Gas Geoscience, 2019, 30(5):626-634. | |
| [32] | 熊健, 林海宇, 唐勇, 等. 砂砾岩油藏影响压裂效果关键地质力学因素研究及应用[J]. 石油地球物理勘探, 2021, 56(5):1 048-1 059. |
| XIONG Jian, LIN Haiyu, TANG Yong, et al. A case study of key geomechanical factors affecting fracturing effect in sandy conglomerate reservoirs[J]. Oil Geophysical Prospecting, 2021, 56(5):1 048-1 059. |
| [1] | 秦志军, 操应长, 毛锐, 张浩, 冯程. 玛湖凹陷乌尔禾组致密砂砾岩沸石特征及储集层识别[J]. 新疆石油地质, 2023, 44(2): 136-143. |
| [2] | 齐媛, 韩东威, 杜引鱼, 周伟军. 玛湖凹陷三工河组油层低阻成因[J]. 新疆石油地质, 2023, 44(2): 151-160. |
| [3] | 李向阳, 季汉成, 卞腾飞, 陈亮, 陈亮, 郭心舒, 李梦凯. 玛北斜坡百口泉组致密砾岩水力压裂裂缝表征[J]. 新疆石油地质, 2023, 44(2): 178-183. |
| [4] | 张景, 虎丹丹, 覃建华, 王英伟, 唐慧莹. 玛湖砾岩油藏水平井效益开发压裂关键参数优化[J]. 新疆石油地质, 2023, 44(2): 184-194. |
| [5] | 阿力甫江·热合木吐力, 潘龙, 李献民, 林娟, 马晶晶, 窦强峰. 基于双平方根算子的速度建模方法及应用[J]. 新疆石油地质, 2023, 44(1): 119-124. |
| [6] | 况昊, 周润驰, 王钧民, 刘豪, 谭先锋, 蔡鑫勇, 肖振兴. 玛湖凹陷与沙湾凹陷上乌尔禾组储集层差异及成因[J]. 新疆石油地质, 2023, 44(1): 18-24. |
| [7] | 何海清, 唐勇, 邹志文, 郭华军, 徐洋, 李亚哲. 准噶尔盆地中央坳陷西部风城组岩相古地理及油气勘探[J]. 新疆石油地质, 2022, 43(6): 640-653. |
| [8] | 唐勇, 雷德文, 曹剑, 刘寅, 黄立良, 李卉. 准噶尔盆地二叠系全油气系统与源内天然气勘探新领域[J]. 新疆石油地质, 2022, 43(6): 654-662. |
| [9] | 何文军, 宋永, 汤诗棋, 尤新才, 白雨, 赵毅. 玛湖凹陷二叠系风城组全油气系统成藏机理[J]. 新疆石油地质, 2022, 43(6): 663-673. |
| [10] | 龚德瑜, 刘海磊, 杨海波, 李宗浩, 王瑞菊, 吴卫安. 准噶尔盆地风城组烃源岩生气潜力与天然气勘探领域[J]. 新疆石油地质, 2022, 43(6): 674-683. |
| [11] | 蒋文龙, 阿布力米提·依明, 卞保力, 王韬, 任海姣, 韩杨. 准噶尔盆地西北缘风城组烃源岩热演化生物标志化合物变化及意义[J]. 新疆石油地质, 2022, 43(6): 684-692. |
| [12] | 钱门辉, 王绪龙, 黎茂稳, 李志明, 冷筠莹, 孙中良. 玛页1井风城组页岩含油性与烃类赋存状态[J]. 新疆石油地质, 2022, 43(6): 693-703. |
| [13] | 单祥, 窦洋, 晏奇, 陈希光, 彭博, 易俊峰. 玛南斜坡区风城组致密油藏储集层特征及控制因素[J]. 新疆石油地质, 2022, 43(6): 704-713. |
| [14] | 雷海艳, 齐婧, 周妮, 陈俊, 孟颖, 张锡新, 陈锐兵. 玛湖凹陷玛页1井风城组富硅页岩成因及其油气意义[J]. 新疆石油地质, 2022, 43(6): 724-732. |
| [15] | 刘财广, 季瑞雪, 王伟, 张融. 玛湖凹陷风城组页岩油产量影响因素及甜点评价[J]. 新疆石油地质, 2022, 43(6): 733-742. |
| 阅读次数 | ||||||
|
全文 |
|
|||||
|
摘要 |
|
|||||